
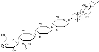
CAS Number
17575-22-3
Lanatoside C
SL Number
CSL-10059
Category
impurity
Molecular Formula
C49H76O20
Molecular Weight
985.12
Description
(3beta,5beta,12beta)-3-[(O-beta-D-Glucopyranosyl-(14)-O-3-O-acetyl-2,6-dideoxy-beta-D-ribo-hexopyranosyl-(14)-O-2,6-dideoxy-beta-D-ribo-hexopyranosyl-(14)-2,6-dideoxy-beta-D-ribo-hexopyranosyl)oxy]-12,14-dihydroxycard-20(22)-enolide Allocor Cedilanid Ceglunat Isolanid Isolanide Lanatigen C Lanimerck NSC 119991 NSC 7533
Pricing: Contact us for current pricing and availability
Request Quote