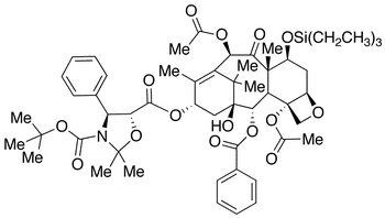
![13-{[(3-N-Boc)-2,2-dimethyl-4S-phenyl-1,3-oxazolidin-5R-yl]formyl}-7-O-(triethylsilyl) Baccatin III - Chemical structure and product image](/_next/image?url=https%3A%2F%2Fpub-4103a2e826e1467ea666f636691ef4dd.r2.dev%2FB648480.png&w=3840&q=75)
CAS Number
143527-71-3
13-{[(3-N-Boc)-2,2-dimethyl-4S-phenyl-1,3-oxazolidin-5R-yl]formyl}-7-O-(triethylsilyl) Baccatin III
SL Number
CSL-11778
Category
impurity
Molecular Formula
C54H73NO15Si
Molecular Weight
1004.24
Description
(4S,5R)-2,2-Dimethyl-4-phenyl-3,5-oxazolidinedicarboxylic Acid 5-[(2aR,4S,4aS,6R,9S,11S,12S,12aR,12bS)-6,12b-Bis(acetyloxy)-12-(benzoyloxy)-2a,3,4,4a,5,6,9,10,11,12,12a,12b-dodecahydro-11-hydroxy-4a,8,13,13-tetramethyl-5-oxo-4-[(triethylsilyl)oxy]-7,11-methano-1H-cyclodeca[3,4]benz[1,2-b]oxet-9-yl] 3-(1,1-dimethylethyl) Ester
Pricing: Contact us for current pricing and availability
Request Quote