
CAS Number
NA
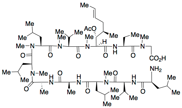
L-leucyl-L-valyl-N-methyl-L-leucyl-L-alanyl-D-alanyl-N-methyl-L-leucyl-N-methyl-L-leucyl-N-methyl-L-valyl-(2S,3R,4R,6E)-3-(acetyloxy)-4-methyl-2-(methylamino)-6-octenoyl-(2S)-2-aminobutanoyl-N-methyl-glycine
SL Number
CSL-12775
Category
impurity
Molecular Formula
C63H113N11O14
Molecular Weight
1248.64
Description
NA
Pricing: Contact us for current pricing and availability
Request Quote