
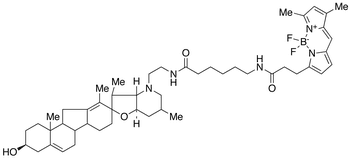
CAS Number
334658-24-1
Bodipy Cyclopamine
SL Number
CSL-13507
Category
impurity
Molecular Formula
C49H70BF2N5O4
Molecular Weight
841.92
Description
[5-[(3,5-Dimethyl-2H-pyrrol-2-ylidene-κN)methyl]-N-[6-[[2-[(3S,3R,3aS,6S,6aS,6bS,7aR,2R,11aS,11bR)-1,2,3,3,3a,4,5,6,6’,6a,6b,7,7,7a,8,11,11a,11b-octadecahydro-3-hydroxy-3,6,10,11b-tetramethylspiro[9H-benzo[a]fluorene-9,2(4H)-furo[3,2-b]pyridin]-4’-yl]ethyl]amino]-6-oxohexyl]-1H-pyrrole-2-propanamidato-κN1]difluoro-boron
Pricing: Contact us for current pricing and availability
Request Quote