
CAS Number
33639-80-4
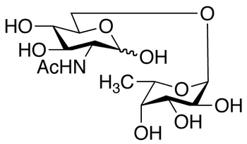
2-Acetamido-2-deoxy-6-O-(α-L-fucopyranosyl)-D-glucopyranose
SL Number
CSL-1492
Category
impurity
Molecular Formula
C14H25NO10
Molecular Weight
367.35
Description
2-Αcetamido-2-deoxy-6-O-(6-deoxy-α-L-galactopyranosyl)-D-glucopyranose; Fuc1-α-6GlcNAc
Pricing: Contact us for current pricing and availability
Request Quote