
CAS Number
07/06/6493
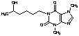
(+/-)-Lisofylline
SL Number
CSL-15002
Category
impurity
Molecular Formula
C13H20N4O3
Molecular Weight
280.32
Description
3,7-Dihydro-1-(5-hydroxyhexyl)-3,7-dimethyl-1H-purine-2,6-dione; 1-(5-Hydroxyhexyl)theobromine; (+/-)-1-(5-Hydroxyhexyl)-3,7-dimethylxanthine; BL 194; Pentoxifylline Alcohol; Hydroxy pentoxifylline
Pricing: Contact us for current pricing and availability
Request Quote