
CAS Number
NA
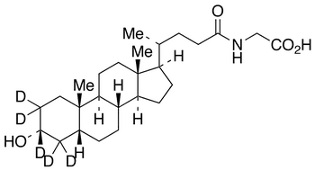
Lithocholylglycine-d5
SL Number
CSL-15312
Category
impurity
Molecular Formula
C26H38D5NO4
Molecular Weight
438.65
Description
N-[(3alpha,5beta)-3-Ηydroxy-24-oxocholan-24-yl]glycine-d5; 3alpha-Hydroxy-5beta-cholanic Αcid-d5 Glycine Ester; 3alpha-Hydroxy-5beta-cholanoylglycine-d5 N-(3alpha-Hydroxy-5beta-cholanoyl)glycine-d5 Glycolithocholic Acid-d5
Pricing: Contact us for current pricing and availability
Request Quote