
CAS Number
67227-57-0
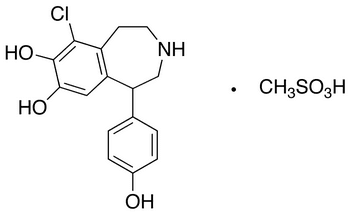
Fenoldopam Mesylate
SL Number
CSL-17629
Category
impurity
Molecular Formula
C17H20ClNO6S
Molecular Weight
401.86
Description
6-Chloro-2,3,4,5-tetrahydro-1-(4-hydroxyphenyl)-1H-3-benzazepine-7,8-diol; Methanesulfonate; Corlopam; Fenoldopam Methanesulfonate; Fenoldopam Monomethanesulfonate; SKF 82526J;
Pricing: Contact us for current pricing and availability
Request Quote