
CAS Number
214902-82-6
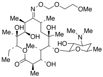
Decladinose Roxithromycin (Roxithromycin Impurity B)
SL Number
CSL-17971
Category
impurity
Molecular Formula
C33H62N2O12
Molecular Weight
678.85
Description
(9E)-3-O-de(2,6-dideoxy-3-C-methyl-3-O-methyl-alpha-L-ribo-hexopyranosyl)erythromycin9-[O-[(2-Methoxyethoxy)methyl]oxime]; Decladinoseroxithromycin; (9E)-3-O-De(2,6-dideoxy-3-C-methyl-3-O-methyl-alpha-L-ribo-hexopyranosyl)erythromycin 9-[O-[(2-Methoxyethoxy)methyl]oxime]; Roxithromycin Impurity B;
Pricing: Contact us for current pricing and availability
Request Quote