
CAS Number
142523-14-6
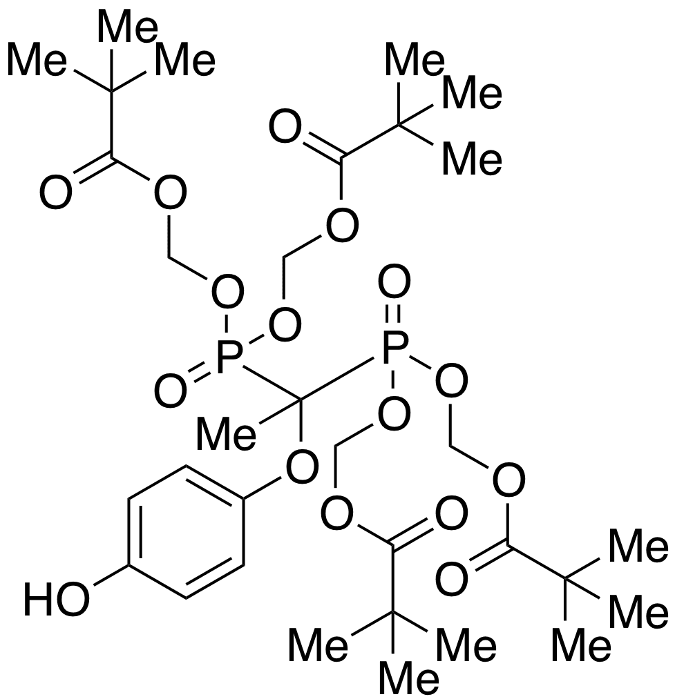
L-690,488
SL Number
CSL-19040
Category
impurity
Molecular Formula
C32H52O16P2
Molecular Weight
754.69
Description
1-[(4-Hydroxyphenoxy)ethylidene]bis[phosphinylidynebis(oxymethylene)]-2,2-dimethylpropanoate; 1-[(4-Hydroxyphenoxy)ethylidene]bis[phosphinylidynebis(oxymethylene)]-2,2-dimethylpropanoic Acid Ester (9CI)
Pricing: Contact us for current pricing and availability
Request Quote