
CAS Number
161886-59-5
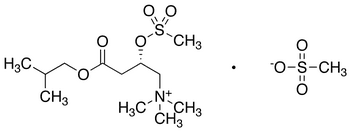
(S)-Carnitine Mesylate Isobutylester, Mesylate Salt
SL Number
CSL-2152
Category
impurity
Molecular Formula
C13H29NO8S2
Molecular Weight
391.5
Description
(S)-N,N,N-Trimethyl-4-(2-methylpropoxy)-2-[(methylsulfonyl)oxy]-4-oxo-1-butanaminium Methanesulfonate;
Pricing: Contact us for current pricing and availability
Request Quote