
CAS Number
74235-24-8
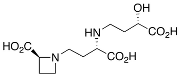
2-Deoxymugineic Acid
SL Number
CSL-21799
Category
impurity
Molecular Formula
C12H20N2O7
Molecular Weight
304.3
Description
(alphaS,2S)-2-Carboxy-alpha-[[(3S)-3-carboxy-3-hydroxypropyl]amino]-1-azetidinebutanoic Acid; 2-Dehydroxymugineic Acid; DMA;
Pricing: Contact us for current pricing and availability
Request Quote