
CAS Number
1246819-54-4
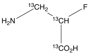
Alpha-Fluoro-beta-alanine-13C3
SL Number
CSL-22242
Category
impurity
Molecular Formula
13C3H6FNO2
Molecular Weight
110.06
Description
3-Amino-2-fluoropropanoic Acid-13C3
Pricing: Contact us for current pricing and availability
Request Quote