
CAS Number
129762-76-1
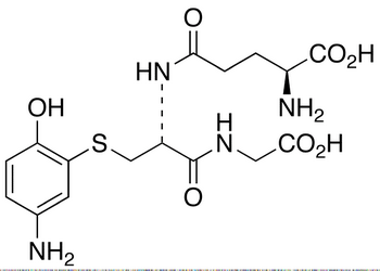
Desacetyl Acetaminophen Glutathione
SL Number
CSL-26180
Category
impurity
Molecular Formula
C16H22N4O7S
Molecular Weight
414.43
Description
N-[S-(5-Amino-2-hydroxyphenyl)-N-L-gamma-glutamyl-L-cysteinyl]glycine;
Pricing: Contact us for current pricing and availability
Request Quote