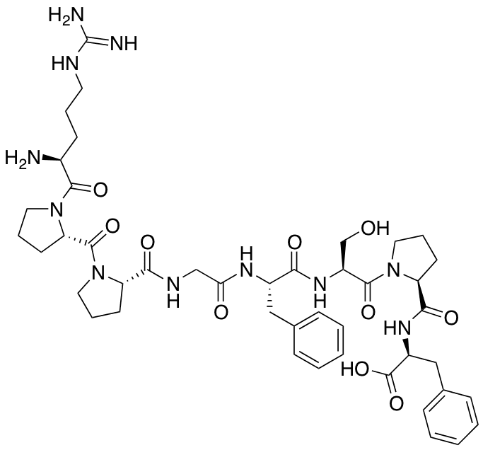
![[Des-Arg9]-Bradykinin - Chemical structure and product image](/_next/image?url=https%3A%2F%2Fpub-4103a2e826e1467ea666f636691ef4dd.r2.dev%2FD290888.png&w=3840&q=75)
CAS Number
15958-92-6
[Des-Arg9]-Bradykinin
SL Number
CSL-28119
Category
impurity
Molecular Formula
C44H61N11O10
Molecular Weight
904.03
Description
N-[1-[N-[N-[N-[1-(1-L-Arginyl-L-prolyl)-L-prolyl]glycyl]-3-phenyl-L-alanyl]-L-seryl]-L-prolyl]-3-phenyl-alanine; 1-​8-​Bradykinin
Pricing: Contact us for current pricing and availability
Request Quote