
CAS Number
1215731-50-2
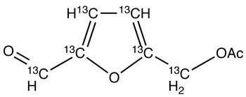
5-Acetoxymethyl-2-furaldehyde-13C6
SL Number
CSL-3141
Category
impurity
Molecular Formula
13C6H8C2O4
Molecular Weight
174.1
Description
5-[(Acetyloxy)methyl]-2-furancarboxaldehyde-13C6; 5-Acetoxymethylfurfural-13C6;; (5-Formylfuran-2-yl)methyl Acetate-13C6;; 5-(Acetoxymethyl)-2-furancarboxaldehyde -13C6;; 5-Formyl-2-furfuryl Acetate-13C6;; 5-Formyl-2-furylmethyl Acetate-13C6;;
Pricing: Contact us for current pricing and availability
Request Quote