
CAS Number
27536-56-7
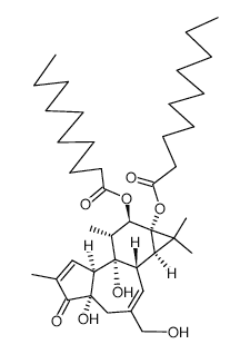
4alpha-Phorbol 12,13-didecanoate
SL Number
CSL-35212
Category
impurity
Molecular Formula
C40H64O8
Molecular Weight
672.93
Description
Pricing: Contact us for current pricing and availability
Request Quote
CSL-35212
impurity
C40H64O8
672.93
Pricing: Contact us for current pricing and availability
Request Quote