
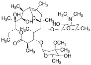
CAS Number
33396-29-1
Erythromycin A Enol Ether
SL Number
CSL-3563
Category
impurity
Molecular Formula
C37H65NO12
Molecular Weight
715.92
Description
11-(4-Dimethylamino-3-hydroxy-6-methyl-tetrahydro-pyran-2-yloxy)-5-ethyl-3,4-dihydroxy-9-(5-hydroxy-4-methoxy-4,6-dimethyl-tetrahydro-pyran-2-yloxy)-2,4,8,10,12,14-hexamethyl-6,15-dioxa-bicyclo[10.2.1]pentadec-1(14)-en-7-one; Erythromycin EP Impurity E
Pricing: Contact us for current pricing and availability
Request Quote