
CAS Number
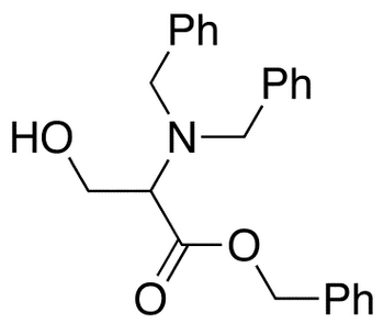
2-N,N-Dibenzyl Serine Benzyl Ester
SL Number
CSL-35723
Category
impurity
Molecular Formula
C24H25NO3
Molecular Weight
375.46
Description
N,N-Bis(phenylmethyl)serine Phenylmethyl Ester;
Pricing: Contact us for current pricing and availability
Request Quote