
CAS Number
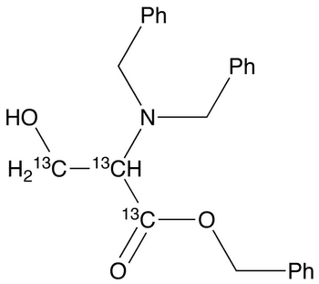
2-N,N-Dibenzyl Serine Benzyl Ester-13C3
SL Number
CSL-35728
Category
impurity
Molecular Formula
C2113C3H25NO3
Molecular Weight
378.44
Description
N,N-Bis(phenylmethyl)serine Phenylmethyl Ester-13C3;
Pricing: Contact us for current pricing and availability
Request Quote