
CAS Number
1217542-13-6
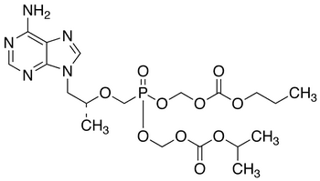
nPOC-POC Tenofovir(Mixture of Diastereomers)
SL Number
CSL-37879
Category
impurity
Molecular Formula
C19H30N5O10P
Molecular Weight
519.44
Description
5-[[(1R)-2-(6-Amino-9H-purin-9-yl)-1-methylethoxy]methyl]-2,4,6,8-tetraoxa-5- phosphanonanedioic Acid (1-methylethyl,propyl) Ester 5-Oxide; nPOC-POC PMPA;
Pricing: Contact us for current pricing and availability
Request Quote