
CAS Number
68782-46-7
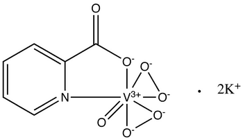
Potassium Bisperoxo(pyridine-2-carboxylato)oxovanadate
SL Number
CSL-38057
Category
impurity
Molecular Formula
C6H4K2NO7V
Molecular Weight
331.24
Description
(PB-7-23-11114)-Oxodiperoxy(2-pyridinecarboxylato-κN1,κO2)vanadate(2-) Dipotassium; K2[V=O)(O2)2(pic); BpV(pic)K2;
Pricing: Contact us for current pricing and availability
Request Quote