
CAS Number
151006-14-3
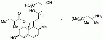
Pravastatin 1,1,3,3-Tetramethylbutylamine
SL Number
CSL-38468
Category
impurity
Molecular Formula
C31H55NO7
Molecular Weight
553.77
Description
[1S-[1alpha(betaS,deltaS),2alpha,6alpha,8beta(R),8aalpha]]-1,2,6,7,8,8a-Hexahydro-beta,delta,6-trihydroxy-2-methyl-8-(2-methyl-1-oxobutoxy)-1-naphthaleneheptanoate 2,4,4-Trimethyl-2-pentanamine;
Pricing: Contact us for current pricing and availability
Request Quote