
CAS Number
78439-06-2
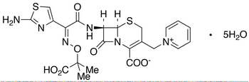
Ceftazidime Pentahydrate(Contain 1 equivalent of Na2CO3 as stabilizer)
SL Number
CSL-3865
Category
impurity
Molecular Formula
C22H32N6O12S2
Molecular Weight
636.65
Description
1-[[(6R,7R)-7-[[(2Z)-2-(2-Amino-4-thiazolyl)-2-[(1-carboxy-1-methylethoxy)imino]acetyl]amino]-2-carboxy-8-oxo-5-thia-1-azabicyclo[4.2.0]oct-2-en-3-yl]methyl]pyridinium Inner Salt Pentahydrate; Biotum; Ceftacidin; Fortam; Fortaz; Fortum; GR 20263; Modacin; Tazicef; Tazidime;
Pricing: Contact us for current pricing and availability
Request Quote