
CAS Number
124830-99-5
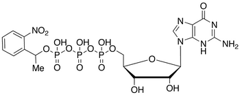
Caged GTP
SL Number
CSL-40074
Category
impurity
Molecular Formula
C18H23N6O16P3
Molecular Weight
672.33
Description
Guanosine 5-Triphosphate P3-[1-(2-Nitrophenyl)ethyl]ester; Guanosine 5-(Tetrahydrogen Triphosphate) P-[1-(2-Nitrophenyl)ethyl]ester;
Pricing: Contact us for current pricing and availability
Request Quote