
CAS Number
207516-11-8
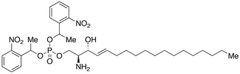
Caged D-erythro-Sphingosine-1-phosphate
SL Number
CSL-40075
Category
impurity
Molecular Formula
C34H52N3O9P
Molecular Weight
677.77
Description
(2S,3R,4E)-2-Amino-3-hydroxy-4-octadecenyl Phosphoric Acid Bis[1-(2-nitrophenyl)ethyl]ester; Caged SPN-1-P;
Pricing: Contact us for current pricing and availability
Request Quote