
CAS Number
881188-51-8
Foxy 5
SL Number
CSL-40287
Category
impurity
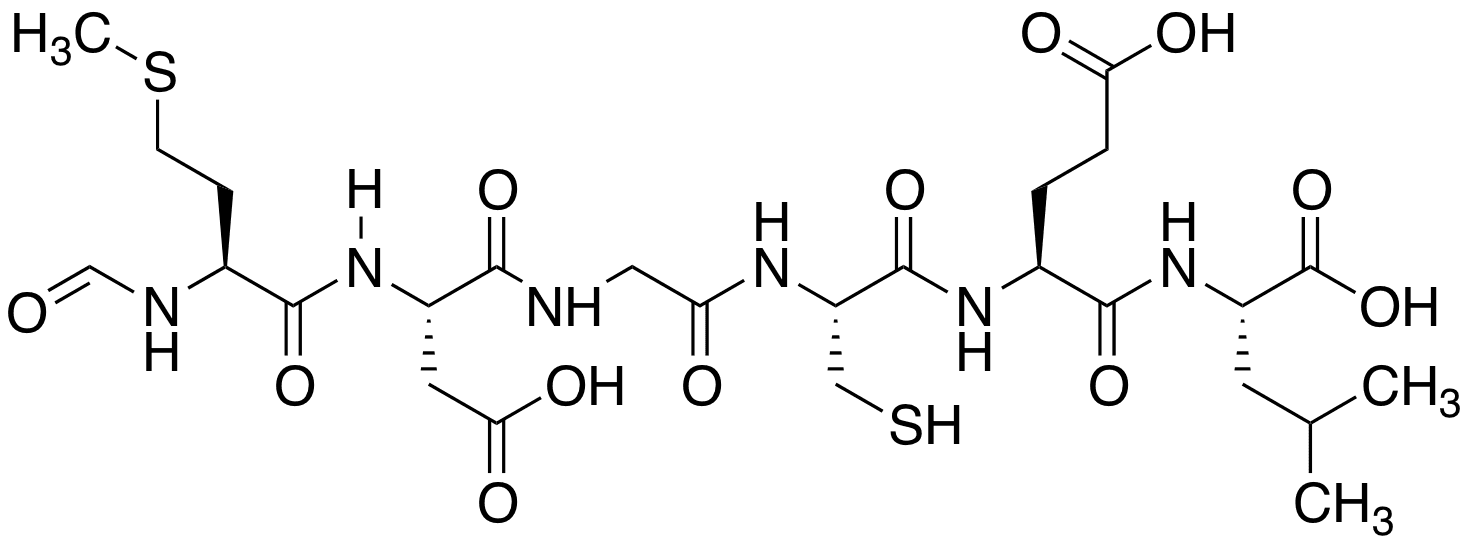
Molecular Formula
C26H42N6O12S2
Molecular Weight
694.77
Description
N-Formyl-L-methionyl-L-alpha-aspartylglycyl-L-cysteinyl-L-alpha-glutamyl-L-leucine
Pricing: Contact us for current pricing and availability
Request Quote