
CAS Number
35405-71-1
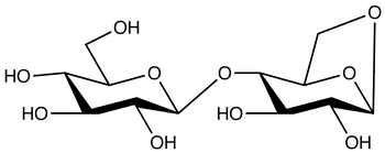
Cellobiosan
SL Number
CSL-4285
Category
impurity
Molecular Formula
C12H20O10
Molecular Weight
324.28
Description
1,6-Anhydro-4-O-Beta-D-glucopyranosyl-Beta-D-glucopyranose; 1,6-Anhydro-Beta-cellobiose;
Pricing: Contact us for current pricing and availability
Request Quote