
CAS Number
83058-38-2
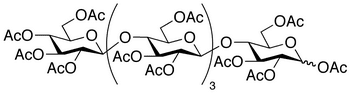
D-Cellopentose Heptadecaacetate
SL Number
CSL-4314
Category
impurity
Molecular Formula
C64H86O43
Molecular Weight
1543.36
Description
O-2,3,4,6-Tetra-O-acetyl-beta-D-glucopyranosyl-(1-4)-O-2,3,6-tri-O-acetyl-beta-D-glucopyranosyl-(1-4)-O-2,3,6-tri-O-acetyl-beta-D-glucopyranosyl-(1-4)-O-2,3,6-tri-O-acetyl-beta-D-glucopyranosyl-(1-4)-D-glucopyranose Tetraacetate;
Pricing: Contact us for current pricing and availability
Request Quote