
CAS Number
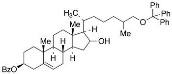
3-O-Benzoyl-26-O-trityl 16 26-Dihydroxy Cholesterol
SL Number
CSL-4698
Category
impurity
Molecular Formula
C53H64O4
Molecular Weight
765.07
Description
Pricing: Contact us for current pricing and availability
Request Quote
CSL-4698
impurity
C53H64O4
765.07
Pricing: Contact us for current pricing and availability
Request Quote