
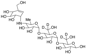
CAS Number
Acarbose-dx
SL Number
CSL-502
Category
impurity
Molecular Formula
C25H39D4NO18
Molecular Weight
649.63
Description
O-4,6-Dideoxy-4-[[[1S-(1α,4α,5β,6α)]-4,5,6-trihydroxy-3-(hydroxymethyl)-2-cyclohexen-1-yl]amino]-α-D-glucopyranosyl-(1-4)-O-α-D-glucopyranosyl-(1-4)-D-glucose-d4; Glucobay-d4; Prandase-d4; Precose-d4
Pricing: Contact us for current pricing and availability
Request Quote