
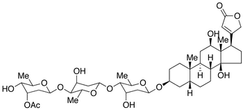
CAS Number
5511-98-8
Alpha-Acetyl Digoxin
SL Number
CSL-5323
Category
impurity
Molecular Formula
C43H66O15
Molecular Weight
822.98
Description
(3 beta,5 beta,12beta)-3-[(O-3-O-Acetyl-2,6-dideoxy-beta-D-ribo-hexopyranosyl-(14)-O-2,6-dideoxy-beta-D-ribo-hexopyranosyl-(14)-2,6-dideoxy-beta-D-ribo-hexopyranosyl)oxy]-12,14-dihydroxycard-20(22)-enolide; 3-Acetyldigoxin; Desglucolanatoside C; Lanatilin;
Pricing: Contact us for current pricing and availability
Request Quote