
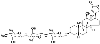
CAS Number
5355-48-6
Beta-Acetyl Digoxin
SL Number
CSL-5326
Category
impurity
Molecular Formula
C43H66O15
Molecular Weight
822.98
Description
(3 beta,5 beta,12 beta)-3-[(O-4-O-Αcetyl-2,6-dideoxy-beta-D-ribo-hexopyranosyl-(14)-O-2,6-dideoxy-beta-D-ribo-hexopyranosyl-(14)-2,6-dideoxy-beta-D-ribo-hexopyranosyl)oxy]-12,14-dihydroxycard-20(22)-enolide; 16-Acetyldigoxin; 4-Acetyldigoxin; Digoxigenin Tridigitoxoside-Beta-acetate; Novodigal;
Pricing: Contact us for current pricing and availability
Request Quote