
CAS Number
NA
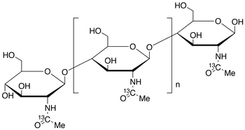
Chitin-13CX, Practical Grade
SL Number
CSL-5370
Category
impurity
Molecular Formula
NA
Molecular Weight
0
Description
Poly-(1-4)-Beta-N-acetyl-D-glucosamine-13CX,; C 7170-13CX,; N-Acetylchitan-13CX,; Chitin Tc-L-13CX,; ChitoRem SC 20-13CX,; ChitoRem SC 80-13CX,; Clandosan-13CX,; Kimica Chitin F-13CX,; Kimitsu Chitin-13CX,; North Chitin CG 2-13CX,; Regitex FA; SEC 1-13CX,; Alpha-Chitin-13CX,; Beta-Chitin-13CX,; Gamma-Chitin-13CX,;
Pricing: Contact us for current pricing and availability
Request Quote