
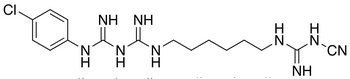
CAS Number
152504-08-0
Chlorhexidine Diacetate Impurity A
SL Number
CSL-5789
Category
impurity
Molecular Formula
C16H24ClN9
Molecular Weight
377.88
Description
N-(4-Chlorophenyl)-N-[6-[[(cyanoamino)iminomethyl]amino]hexyl]imidodicarbonimidic Diamide;
Pricing: Contact us for current pricing and availability
Request Quote