
CAS Number
1217853-98-9
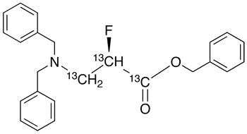
Benzyl (2R)-3-N,N-Dibenzylamino-2-fluoropropanoate-13C3
SL Number
CSL-5992
Category
impurity
Molecular Formula
C21 13C3H24FNO2
Molecular Weight
380.43
Description
3-[Bis(phenylmethyl)amino]-2-fluoro-propanoic Acid-13C3 Phenylmethyl Ester;
Pricing: Contact us for current pricing and availability
Request Quote