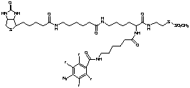
![2-{N2-[N6-(4-Azido-2,3,5,6-tetrafluorobenzoyl)-6- aminocaproyl]-N6-(6-biotinamidocaproyl)-L -lysinylamido}ethyl Methanethiosulfonate - Chemical structure and product image](/_next/image?url=https%3A%2F%2Fpub-4103a2e826e1467ea666f636691ef4dd.r2.dev%2FA862185.png&w=3840&q=75)
CAS Number
1356841-34-3
2-{N2-[N6-(4-Azido-2,3,5,6-tetrafluorobenzoyl)-6- aminocaproyl]-N6-(6-biotinamidocaproyl)-L -lysinylamido}ethyl Methanethiosulfonate
SL Number
CSL-6060
Category
impurity
Molecular Formula
C38H56F4N10O8S3
Molecular Weight
953.1
Description
NA
Pricing: Contact us for current pricing and availability
Request Quote