![2-{N2-[N6-(4-Azido-2,3,5,6-tetrafluorobenzoyl)-6 -aminocaproyl]-N6-(6-biotinamidocaproyl)-L -lysinylamido}] Ethyl 2-Carboxyethyl Disulfide - Chemical structure and product image](/_next/image?url=https%3A%2F%2Fpub-4103a2e826e1467ea666f636691ef4dd.r2.dev%2FA862160.png&w=3840&q=75)
CAS Number
1217773-33-5
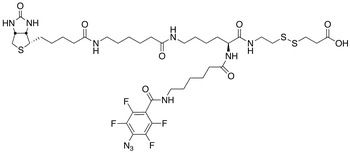
2-{N2-[N6-(4-Azido-2,3,5,6-tetrafluorobenzoyl)-6 -aminocaproyl]-N6-(6-biotinamidocaproyl)-L -lysinylamido}] Ethyl 2-Carboxyethyl Disulfide
SL Number
CSL-6061
Category
impurity
Molecular Formula
C40H58F4N10O8S3
Molecular Weight
979.14
Description
NA
Pricing: Contact us for current pricing and availability
Request Quote