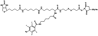
![2-{N2-[N6-(4-Azido-2,3,5,6-tetrafluorobenzoyl)-6 -aminocaproyl]-N6-(6-biotinamidocaproyl)-L-lysinylamido}] Ethyl 2-(N-Sulfosuccinimydylcarboxy)ethyl Disulfide, Sodium Salt - Chemical structure and product image](/_next/image?url=https%3A%2F%2Fpub-4103a2e826e1467ea666f636691ef4dd.r2.dev%2FA862210.png&w=3840&q=75)
CAS Number
NA
2-{N2-[N6-(4-Azido-2,3,5,6-tetrafluorobenzoyl)-6 -aminocaproyl]-N6-(6-biotinamidocaproyl)-L-lysinylamido}] Ethyl 2-(N-Sulfosuccinimydylcarboxy)ethyl Disulfide, Sodium Salt
SL Number
CSL-6064
Category
impurity
Molecular Formula
C44H60F4N11NaO13S4
Molecular Weight
1178.26
Description
NA
Pricing: Contact us for current pricing and availability
Request Quote