
CAS Number
419573-19-6
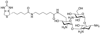
Biotinamidocaproate Tobramycin Amide
SL Number
CSL-6159
Category
impurity
Molecular Formula
C34H62N8O12S
Molecular Weight
806.97
Description
NA
Pricing: Contact us for current pricing and availability
Request Quote
CSL-6159
impurity
C34H62N8O12S
806.97
NA
Pricing: Contact us for current pricing and availability
Request Quote