![2-[N2-(N6-t-Boc-6-aminocaproyl)-N6-(6-biotinamidocaproy)-L -lysinylamido]ethyl Methanethiosulfonate - Chemical structure and product image](/_next/image?url=https%3A%2F%2Fpub-4103a2e826e1467ea666f636691ef4dd.r2.dev%2FB617525.png&w=3840&q=75)
CAS Number
NA
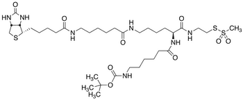
2-[N2-(N6-t-Boc-6-aminocaproyl)-N6-(6-biotinamidocaproy)-L -lysinylamido]ethyl Methanethiosulfonate
SL Number
CSL-6246
Category
impurity
Molecular Formula
C36H65N7O9S3
Molecular Weight
836.14
Description
NA
Pricing: Contact us for current pricing and availability
Request Quote