
CAS Number
1217850-77-5
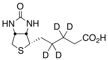
rac Biotin-d4
SL Number
CSL-6320
Category
impurity
Molecular Formula
C10H12D4N2O3S
Molecular Weight
248.34
Description
rel-(3aS,4S,6aR)-Hexahydro-2-oxo-1H-thieno[3,4-d]imidazole-4-pentanoic Acid-d4; rac Vitamin B7-d4; Coenzyme R-d4; Factor S-d4; Lutavit H2-d4; Meribin-d4; NSC 63865-d4; Rovimix H2-d4;
Pricing: Contact us for current pricing and availability
Request Quote