
CAS Number
1219356-78-1
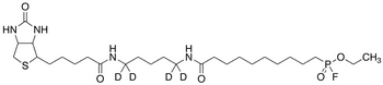
FP-Biotin-d4
SL Number
CSL-6322
Category
impurity
Molecular Formula
C27H46D4FN4O5PS
Molecular Weight
596.77
Description
[10-[[5-[[5-[(3aS,4S,6aR)-Hexahydro-2-oxo-1H-thieno[3,4-d]imidazol-4-yl]-1-oxopentyl]amino]pentyl-d4]amino]-10-oxodecyl]phosphonofluoridic Acid Ethyl Ester;
Pricing: Contact us for current pricing and availability
Request Quote