
CAS Number
1216647-82-3
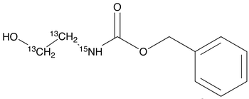
N-(Benzyloxycarbonyl)ethanolamine-13C2,15N
SL Number
CSL-8114
Category
impurity
Molecular Formula
C8 13C2H13 15NO3
Molecular Weight
198.19
Description
N-(2-Hydroxyethyl)carbamic Acid Phenylmethyl Ester-13C2,15N; (2-Hydroxyethyl)carbamic Acid Benzyl Ester-13C2,15N; 2-(Benzyloxycarbonylamino)ethanol-13C2,15N;
Pricing: Contact us for current pricing and availability
Request Quote