
CAS Number
52630-68-9
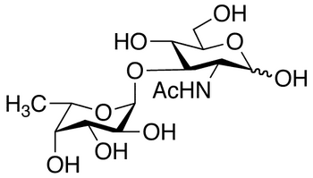
2-Acetamido-2-deoxy-3-O-(α-L-fucopyranosyl)-D-glucopyranose
SL Number
CSL-918
Category
impurity
Molecular Formula
C14H25NO10
Molecular Weight
367.35
Description
2-(Acetylamino)-2-deoxy-3-O-(6-deoxy-α-L-galactopyranosyl)-D-glucopyranose; Fuc1-α-3GlcNAc;
Pricing: Contact us for current pricing and availability
Request Quote