
CAS Number
1216461-57-2
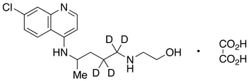
Cletoquine-d4 Oxalate
SL Number
CSL-9229
Category
impurity
Molecular Formula
C18H20D4ClN3O5
Molecular Weight
401.88
Description
2-[[4-[(7-Chloro-4-quinolinyl)amino]pentyl-d4]amino]ethanol Oxalate; (+/-)-Desethylhydroxychloroquine-d4 Oxalate;
Pricing: Contact us for current pricing and availability
Request Quote