
CAS Number
309263-13-6
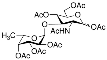
2-Acetamido-2-deoxy-3-O-(α-L-fucopyranosyl)-D-glucopyranose Pentaacetate
SL Number
CSL-928
Category
impurity
Molecular Formula
C26H37NO16
Molecular Weight
619.57
Description
2-(Acetylamino)-2-deoxy-3-O-(2,3,4-tri-O-acetyl-6-deoxy-α-L-galactopyranosyl)-D-glucopyranose 1,4,6-Triacetate;
Pricing: Contact us for current pricing and availability
Request Quote