
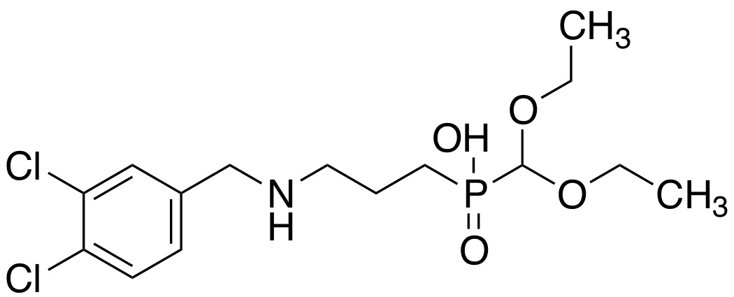
CAS Number
139667-74-6
CGP 52432
SL Number
CSL-9295
Category
impurity
Molecular Formula
C15H24Cl2NO4P
Molecular Weight
384.24
Description
3-[[(3,4-Dichlorophenyl)methyl]amino]propyl] diethoxymethyl)phosphinic acid
Pricing: Contact us for current pricing and availability
Request Quote